
- Geschäftskunden
- Unternehmen
- Energie
- Anschlussversorgung Mittelspannung
Anschlussversorgung – Mittelspannung (rLM*)
Für Kunden auf Mittelspannungsebene besteht – im Gegensatz zur Niederspannung – kein gesetzlicher Anspruch auf Belieferung durch einen Grund- oder Ersatzversorger. Falls ein Folgeliefervertrag mit einem neuen Lieferanten aus bestimmten Gründen (z.B. Insolvenz) nicht zustande kommt, erfolgt kein automatischer Übergang in die Grund- oder Ersatzversorgung. In diesem Fall gelten Sie als vertragslos und wären verpflichtet, Ihren Strombezug eigenständig einzustellen.
Sollte badenova der Vorlieferant gewesen sein, übernimmt badenova weiterhin die Strombelieferung im Rahmen der Anschlussversorgung im Sinne einer wirtschaftlichen Absicherung und auf Grundlage des BGH-Urteils vom 17.09.2024 (Az. EnZR 57/23).
Wichtiger Hinweis: Wir empfehlen Ihnen, zeitnah einen neuen Liefervertrag abzuschließen, um die mit der Anschlussversorgung verbundenen Vertragsbedingungen und potenziell nachteiligen Konditionen zu vermeiden.
Preisinformationen
Die Preise für die Anschlussversorgung für Kunden in der Mittelspannung mit registrierender Leistungsmessung setzen sich aus einem Arbeitspreis je Kilowattstunde und einem Grundpreis je Monat zusammen:
Grundpreis
Der Grundpreis beträgt 200€ pro Monat.
Arbeitspreis Energie
Der letztlich in Rechnung gestellte Arbeitspreis beinhaltet die Kosten für Strom [€/MWh bzw. ct/kWh] sowie eine Servicegebühr [€/MWh bzw. ct/kWh], in der Risikokomponenten sowie Bearbeitungskomponenten wie z.B. Abrechnungskosten enthalten sind.
Die bezogene Energie wird über den EPEX-Spot Day-Ahead Auktionspreis der Preiszone DE-LU bepreist.
Die Servicegebühr beträgt 2,2ct/kWh.
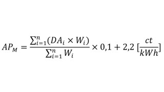
Berechnungslogik des Arbeitspreises:

mit
M Monat
n Anzahl der Viertelstunden eines Monats
i Viertelstunde eines Monats M
DAi EPEX-Spot Day-Ahead Viertelstunden-Auktionspreise der i-ten Viertelstunde eines Monats [€/MWh]
W Arbeit [MWh]
Der berechnete monatliche Arbeitspreis AP(M) wird mit der monatlichen abrechnungsrelevanten Strommenge multipliziert, um zur absoluten monatlichen Abrechnungssumme zu gelangen. Das Ergebnis wird kaufmännisch auf drei Nachkommastellen gerundet.
* rLM-Abnahmestellen werden in der Regel monatlich nach dem tatsächlichen Verbrauch abgerechnet